डेली संवाद, जालंधर। Punjab News: पंजाब प्रेस क्लब के चुनाव की घोषणा हो गई है। पंजाब प्रेस क्लब का चुनाव 15 दिसंबर को होगा। पंजाब प्रेस क्लब की सालाना मीटिंग में चुनाव कराने के लिए लिए गए फैसले को लागू करते हुए, हाउस द्वारा चुने गए रिटर्निंग ऑफिसर डॉ. लखविंदर सिंह जोहल, डॉ. कमलेश सिंह दुग्गल और कुलदीप सिंह बेदी ने सोमवार, 15 दिसंबर को चुनाव कराने का फैसला किया है।
पंजाब (Punjab) प्रेस क्लब (Press Club) के रिटर्निंग अफसर ने बताया कि जो कैंडिडेट चुनाव लड़ना चाहते हैं, वे सोमवार, 8 तारीख को पेपर फाइल कर सकेंगे और मंगलवार, 9 दिसंबर को रिटर्न कर सकेंगे। इस बारे में इंस्ट्रक्शन क्लब द्वारा बनाए गए WhatsApp ग्रुप पर भेजे जाएंगे।
यह भी पढ़ें: जालंधर के अरमान अस्पताल के डाक्टरों पर महिला ने लगाया गंभीर आरोप, AAP नेता से शिकायत
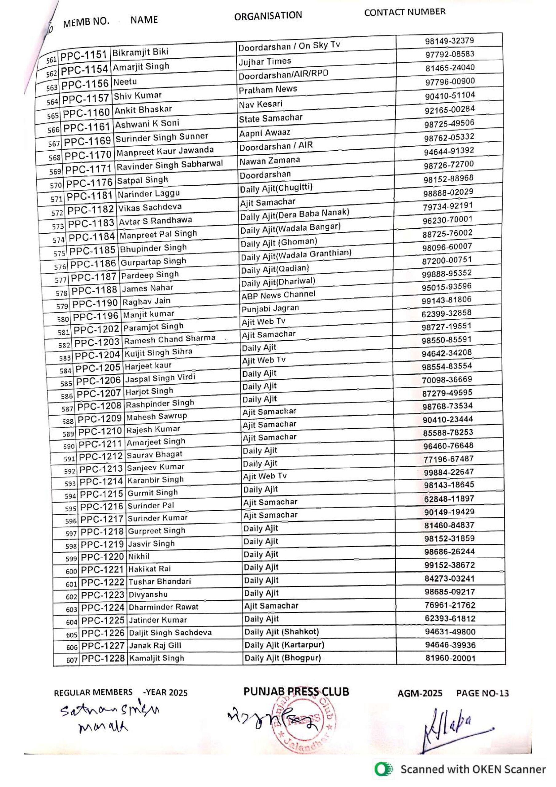
चुनाव प्रोसेस का समय सुबह 9 बजे से दोपहर 3 बजे तक होगा। जो कैंडिडेट हिस्सा लेना चाहते हैं, वे दिए गए इंस्ट्रक्शन के अनुसार 8 दिसंबर, 2025 को दोपहर 12 बजे से शाम 5 बजे तक क्लब ऑफिस में रजिस्टर कर सकते हैं। 613 रेगुलर मैंबर ही इस चुनाव में मतदान कर सकेंगे। नीचे सभी पत्रकारों के नाम की सूची संलग्न की गई है। अपना नाम खबर के नीचे सूची में देख सकते हैं।

इन पदों पर होगा चुनाव
- प्रेसिडेंट
- सीनियर वाइस-प्रेसिडेंट
- जनरल सेक्रेटरी
- वाइस-प्रेसिडेंट
- वाइस-प्रेसिडेंट
- वाइस-प्रेसिडेंट (महिला)
- सेक्रेटरी
- जॉइंट-सेक्रेटरी
- ट्रेज़रर
पंजाब प्रेस क्लब के रिटर्निंग अफसरों ने कहा कि किसी भी और जानकारी के लिए, इलेक्शन कमेटी से संपर्क किया जा सकता है। आपको बता दें कि इससे पहले पंजाब प्रेस क्लब की एनुअल जनरल मीटिंग में कार्यकारिणी भंग कर चुनाव करवाने का ऐलान किया गया था।
पंजाब प्रेस क्लब की AGM Live
613 रेगुलर मेंबर डाल सकेंगे वोट, पढ़ें मैंबरों के नाम




















